Contoh soal limit materi makalah pembahasan kali ini mengenai contoh soal limit beserta pengertian sifat sifat limit teorima limi dan contoh soalnya. Jadi nilai limit dari contoh soal di atas ialah rumus cepat ke 2 mengerjakan limit tak hingga.
Soal Dan Pembahasan Limit Tak Hingga Bentuk Akar 1 3
Contoh menentukan nilai limit tak hingga menggunakan rumus cepat bentuk ii.
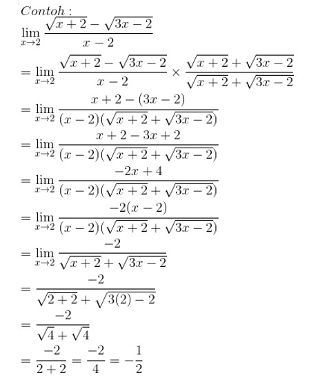
Contoh soal limit tak hingga akar per akar. Nilai limit dari. Persamaan di bawah merupakan rumus cepat untuk mengerjakan limittak hingga. Soal dan pembahasan limit tak hingga bentuk akar 1 3 posted june 19 2013 february 26 2018 rudolph lestrange berikut adalah 3 buah soal limit tak hingga yang jika disubtitusi langsung menghasilkan bentuk tak tentu.
Rumus trik cepat mengerjakan limit tak hingga yang ke 2 dapat digunakan untuk contoh soal limit tak hingga bentuk akar yang di mana fungsi nya dalam akar merupakan sebuah persamaan kuadrat. Rumus trik cepat mengerjakan limit tak hingga yang ke dua dapat digunakan soal limit tak hingga bentuk akar di mana fungsi dalam akar merupakan persamaan kuadrat. Untuk menghindari ini maka kita kalikan dengan sekawan.
Namun dipertemuan sebelumnya kami telah membahas mengenai contoh soal fungsimari kita pelajari dengan seksama penjelasan lengkapnya berikut ini. Coba lihat salah satu contoh yang saya buat pada artikel penyelesaian limit fungsi trigonometri contoh soal nomor 4 bagian a. Pada limit bentuk akar biasanya dihasilkan 00.
Berikut ini merupakan soal dan pembahasan tentang limit tak hingga. Saya juga berencana untuk membuat artikel tersendiri yang berkaitan dengan limit tak hingga fungsi trigonometri karena soal bentuk ini keluar pada sbmptn 2017 matematika ipa. Sibejoo jadda 87512 views.
Posted in matematika tagged contoh soal limit kalkulus materi limit fungsi rumus limit akar rumus limit fungsi aljabar rumus limit tak hingga rumus limit tak hingga bq rumus limit tak tentu rumus limit trigonometri. Cara mengerjakan limit tak hingga bergantung pada bentuk tipe soal limit tak hingga yang diberikan. Soal soal tersebut diambil dari berbagai sumber referensi termasuk dari soal ujian nasional soal sbmptn dan soal tingkat olimpiade.
Untuk memahami pengertian sekawan perhatikan bentuk bentuk pembagian istimewa berikut. Limit part 5limit aljabar tak hingga akarmp4 duration. Bentuk soal limit fungsi tak hingga meliputi bentuk polinomial pecahan trigonometri dan eksponensial.
Ulasan limit fungsi tak hingga meliputi teknik yang dapat digunakan untuk menyelesaikan soal limit tak hingga. Pembaca diharapkan sudah menguasai teori limit fungsi aljabar dan trigonometri. A 2 b 2 a ba b a 3 b 3 a ba 2 ab b 2 a 4 b 4 a ba 3 a 2 b ab 2 b 3 a 5 b 5 a ba 4 a 3 b a 2 b 2 ab 3 b 4.
Limit Tak Hingga Trigonometri Polinomial Pecahan Eksonensial
Cara Mudah Limit Tak Hingga Kuadrat Dalam Akar Request
Soal Dan Pembahasan Limit Tak Hingga Bentuk Akar 1 3
Rumus Cepat Mengerjakan Limit Tak Hingga
Contoh Soal Limit Akar Ilmu Pengetahuan Populer 1
Limit Tak Hingga Fungsi Aljabar Materi Lengkap Matematika
Cara Cepat Limit Tak Hingga Akar Diatas Dan Dibawah Request
Trik Menyelesaikan Limit Tak Hingga Akar Pangkat 3 M4th Lab
Rumus Cepat Mengerjakan Limit Tak Hingga
Limit Tak Hingga Trigonometri Polinomial Pecahan Eksonensial
Limit Dengan Pemfaktoran Dan Perkalian Sekawan
Rumus Cepat Mengerjakan Limit Tak Hingga
Contoh Soal Limit Akar Ilmu Pengetahuan Populer 1
Belajar Matematika Limit Tak Hingga Akar Pangkat Tiga
Soal Dan Pembahasan Limit Tak Hingga Bentuk Akar 1 3
Cara Mencari Limit Tak Hinga Akar Pangkat Tiga Manual Dan Rumus Untuk Sma
Tentang Limit Tak Hingga Cacatan Kecil
Limit Fungsi Aljabar Tak Terhingga
Contoh Soal Limit Tak Hingga Dan Pembahasannya Bank Soal
Limit Tak Terhingga Dari Akar 5x 4 Akar 3x 9 4x Adalah
Rumus Cepat Mengerjakan Limit Tak Hingga
Contoh Soal Limit Akar Ilmu Pengetahuan Populer 1
Limit Dengan Pemfaktoran Dan Perkalian Sekawan
Tips Mengerjakan Soal Limit Fungsi Aljabar Bentuk Tak Tentu
Bank Soal Dan Pembahasan Matematika Dasar Limit Tak Hingga
Cara Cepat Limit Akar Bank Soal Matematika Sma No 3
Rumus Cepat Dalam Mengerjakan Limit Tak Hingga
Belajar Limit Fungsi Aljabar Ikbalmatematika23
Limit Fungsi Aljabar Materi Rumus Metode Contoh Soal
Rumus Limit Matematika Fungsi Tak Hingga Contoh Soal
Limit Fungsi Aljabar Tak Terhingga
Contoh Soal Limit Tak Hingga Belajar Sastra Dan Seni
Limit X Menuju Tak Hingga 2x 2 3 Per Akar X 2 X
Cara Cepat Limit Akar Rangkap Diatas Dan Bawah
Tips Mengerjakan Soal Limit Fungsi Aljabar Bentuk Tak Tentu
Belajar Limit Fungsi Aljabar Ikbalmatematika23
Contoh Soal Limit Akar Ilmu Pengetahuan Populer 1
Limit Aljabar Bentuk Tak Tentu Akar Pangkat Tiga
Soal Limit Aljabar Pecahan Bentuk Akar Kelas X
Rumus Limit Matematika Fungsi Tak Hingga Contoh Soal
Limit Fungsi Aljabar Definisi Sifat Metode
Cara Cepat Dan Manual Limit Tak Hingga Bentuk Akar Pangkat Tiga
Limit Fungsi Aljabar Materi Rumus Metode Contoh Soal
Contoh Soal Limit Akar Contoh Soal Dan Contoh Pidato Lengkap
Limit Fungsi Aljabar Nol Per Nol
Soal Dan Pembahasan Bentuk Akar Tak Hingga 1 3 Istana
Limit Fungsi Aljabar Matematika Kelas 11 Quipper Blog
Sbmptn Dan Contoh Soal Sbmptn 2019 Utbk Limit 15 Trik 7
Lim X Mendekati Tak Hingga X X Kuadrat 2x Brainly Co Id
Limit Tak Hingga Akar Pangkat 3 Archives Dosen Mipa
Soal Dan Pembahasan Limit Tak Hingga Mathcyber1997
Cara Mudah Mengerjakan Soal Limit Fungsi Aljabar Bentuk Tak
Bank Soal Dan Pembahasan Matematika Dasar Limit Fungsi
Limit Tak Hingga Akar Di Kiri Prediksi Un 2016 Matematika Ipa
Pelajaran Soal Rumus Limit Mengalikan Sekawan Wardaya
Rumus Cara Menentukan Limit Tak Hingga
Rumus Cepat Mengerjakan Limit Tak Hingga
Contoh Soal Limit Fungsi Aljabar Bentuk Akar Contoh Soal
Cara Menyelesaikan Limit Tak Hingga Bentuk Akar Ilmu Hitung
Analisis Real Barisan Bilangan Real Latihan Bagian 2 1
Soal Dan Pembahasan Bentuk Akar Tak Hingga 1 3 Istana
Lim X Tak Hingga Dari X Akar X2 X Brainly Co Id
Soal Dan Pembahasan Limit Fungsi Aljabar Dan Trigonometri
Kumpulan Soal Matematika Limit Akar Sekawan Gupak Com
Cara Merasionalkan Penyebut Bentuk Akar Pangkat Tiga
Cara Menyelesaikan Limit Tak Hingga Bentuk Akar Ilmu Hitung
Tips Mengerjakan Soal Limit Fungsi Aljabar Bentuk Tak Tentu
Limit Fungsi Aljabar Nol Per Nol
Kumpulan Soal Limit Fungsi Trigonometri
Pelajaran Soal Rumus Limit Mengalikan Sekawan Wardaya
Kumpulan Soal Matematika Limit Akar Sekawan Gupak Com
Limit Fungsi Aljabar Definisi Sifat Metode
Bank Soal Dan Pembahasan Matematika Dasar Limit Tak Hingga
Rangkuman Contoh Soal Pembahasan Limit
Rumus Limit Matematika Fungsi Tak Hingga Contoh Soal
Doc Bab 12 Limit Fixs Banget Atsnan Fajar Academia Edu
Limit Matematika Dan Contoh Soal
Contoh Soal Limit Pecahan Akar Contoh Soal Dan Contoh
Asimtot Tegak Dan Mendatar Fungsi Aljabar Konsep
Limit Fungsi Aljabar Matematika Kelas 11 Quipper Blog
Lim X Mendekati Tak Hingga Dari 2x Akar 9 10 X 3 Adalah
Limit Fungsi Ilustrasi Limit Perkalian Sekawan Limit
Limit Fungsi Aljabar Tak Terhingga
Bentuk Akar Pengertian Materi Sifat Dan Contoh Soal
Asimtot Tegak Dan Mendatar Fungsi Trigonometri Konsep
Soal Dan Pembahasan Limit Fungsi Aljabar Dan Trigonometri 1
Limit Fungsi Wikipedia Bahasa Indonesia Ensiklopedia Bebas
Rumus The King Limit Fungsi Aljabar Part 1 Belajar
Rumus Cepat Dalam Mengerjakan Limit Tak Hingga
Rangkuman Contoh Soal Pembahasan Limit
Smart Solution Un Matematika Sma 2013 Skl 5 1 Limit Aljabar
Contoh Soal Dan Pembahasan Bentuk Akar Dalam Akar Kelas X Ipa





