Matematika kelas 10 bab 1 02 bentuk pangkat contoh soal. Pada materi sebelumnya mathematics4us telah membahas materi eksponensial.
Matematika Kelas X Merasionalkan Penyebut Bentuk Akar
Cara mudah penjumlahan dan pengurangan bentuk akar.
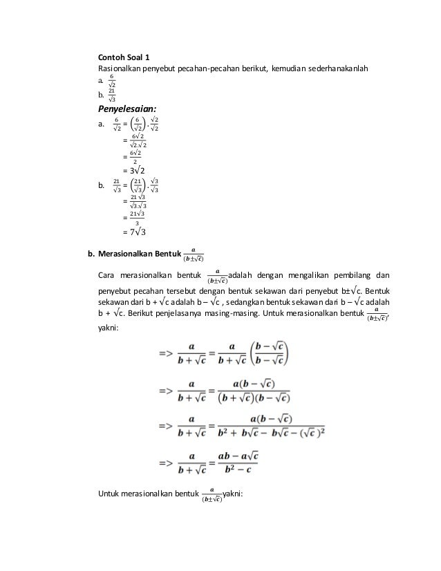
Contoh soal merasionalkan bentuk akar kelas 10. Materi selanjutnya yang akan dibahas yaitu pengakaran. 29 videos play all matematika kelas 10 bab 1 bentuk pangkat akar dan. Contoh soal dan jawaban merasionalkan penyebut posted by edutafsi on 31 may 2015 1037 am dengan cara merasionalkan penyebutnya maka bentuk sederhana dari.
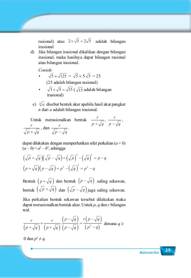
Perhatikan beberapa contoh berikut. Selamat datang di tempat belajar matematika online disini kami menyediakan materi pembelajaran matematika yang sedang teman teman cari lengkap dengan pembahasan contoh soalseperti artikal yang kami buat kali ini yaitu tentang merasionalkan penyebut bentuk akar yang kami susun secara lengkap dan juga jelas agar dapat membantu menyelesaikan masalah matematika yang sedang teman teman hadapi. Sebelum kita bahas bagaimana cara merasionalkan penyebut pecahan bentuk akar di atas perhatikan terlebih dahulu hasil kali pasangan ab dan a b a dan b bilangan rasional dan b adalah bentuk akar.
Pecahan bentuk akar juga termasuk bilangan irasional misalnya 15 37 411 dan 213. Bentuk bentuk bilangan tersebut dapat disederhanakan dengan cara merasionalkan penyebut pecahan pecahan tersebut. Cara merasionalkan setiap penyebut berlainan.
Contoh soal dan pembahasan tentang bentuk akar contoh soal dan pembahasan tentang merasionalkan bentuk akar contoh soal dan pembahasan tentang penjumlahan bentuk akar. Soal soal dasar a tentukan nilai dari. Menyederhanakan bentuk akar contoh lain merasionalkan bentuk akar boleh dibaca menyederhanakan bentuk akar.
Bentuk akar merupakan salah satu contoh bilangan irasional yaitu bilangan yang tidak dapat dinyatakan ke dalam bentuk. Pecahan berbentuk atau. Pengakaran erat kaitannya dengan eksponensial.
Contoh bilangan irasional adalah bentuk akar misalnya 5 7 11 dan 13. Penyebut yang berbentuk akar dari pecahan tersebut dapat diubah menjadi bilangan rasional. Contoh soal dan pembahasan bentuk pangkat dan akar materi matematika kelas x sma.
Kegiatan merasionalkan pada intinya mengubah bentuk akar pada penyebut menjadi bentuk bilangan rasional yang pada akhirnya bilangan tersebut dapat dinyatakan dalam bentuk yang lebih sederhana.
Matematika Kelas X Merasionalkan Penyebut Bentuk Akar
Merasionalkan Penyebut Pecahan Bentuk Akar Beserta Contoh
Matematika Kelas X Merasionalkan Penyebut Bentuk Akar
Berikan 5 Contoh Soal Tentang Merasionalkan Penyebut Akar
Cara Merasionalkan Penyebut Pecahan Bentuk Akar Beserta
Contoh Soal Dan Pembahasan Merasionalkan Bentuk Akar Pecahan
Merasionalkan Penyebut Pecahan Bentuk Akar Beserta Contoh
Soal Merasionalkan Penyebut Pecahan
Merasionalkan Penyebut Pecahan Bentuk Akar
Contoh Soal Bentuk Akar Eksponen Logaritma Dan
Cara Merasionalkan Penyebut Pecahan Bentuk Akar Beserta
Merasionalkan Penyebut Pecahan Bentuk Akar
Merasionalkan Penyebut Pecahan Bentuk Akar Beserta Contoh
Merasionalkan Penyebut Pecahan Bentuk Akar
Merasionalkan Penyebut Pada Pecahan Bentuk Akar Rumah
Merasionalkan Bentuk Akar Eksponen Dan Logaritma
Contoh Soal Bentuk Akar Eksponen Logaritma Dan
Cara Merasionalkan Pecahan Bentuk Akar
Merasionalkan Penyebut Pecahan Bentuk Akar
Merasionalkan Penyebut Pada Pecahan Bentuk Akar Rumah
Materi Matematika Sma Kelas 10 Bentuk Akar Deserta Contoh Soal
Merasionalkan Penyebut Pecahan Bentuk Akar
Matematika Smk Sma Menyederhanakan Dan Merasionalkan
Merasionalkan Penyebut Suatu Pecahan Contoh Soal 1 5
Contoh Soal Bentuk Akar Eksponen Logaritma Dan
Merasionalkan Penyebut Pada Pecahan Bentuk Akar Rudi Azis
Tutorial Cara Merasionalkan Penyebut Pada Pecahan Bentuk Akar Bagian 3
Merasionalkan Penyebut Pada Pecahan Bentuk Akar Rumah
Merasionalkan Penyebut Bilangan Bentuk Akar
Bilangan Berpangkat Dan Bentuk Akar Anikasari
Cara Merasionalkan Pecahan Bentuk Akar
Contoh Soal Merasionalkan Bentuk Akar Brainly Co Id
Operasi Bentuk Akar Rumus Contoh Soal Dan Pembahasan
Soal Merasionalkan Penyebut Pecahan
Matematika Kelas 9 Bilangan Bentuk Akar Sifat Sifat Dan
Contoh Soal Bentuk Akar Eksponen Logaritma Dan
Merasionalkan Penyebut Pecahan Bentuk Akar
Contoh Soal Bentuk Akar Eksponen Logaritma Dan
Merasionalkan Penyebut Pada Pecahan Bentuk Akar Rumah
Merasionalkan Penyebut Pecahan Bentuk Akar
Cara Merasionalkan Penyebut Bentuk Akar Pangkat Tiga
Materi Matematika Sma Kelas 10 Bentuk Akar Deserta Contoh Soal
Contoh Soal Merasionalkan Penyebut Dan Pembahasan
Sederhanakan Pecahan Bentuk Akar Berikut Dengan
Matematika Kelas 9 100institute
Cara Merasionalkan Penyebut Pecahan Bentuk Akar Beserta
Uji Kompetensi Bentuk Akar Sma Kurikulum 2013 Soal Dan
Contoh Soal Dan Pembahasan Tentang Bentuk Akar Ajar Hitung
Cara Merasionalkan Penyebut Pecahan Bentuk Akar Beserta
Matematika Smk Sma Menyederhanakan Dan Merasionalkan
Latihan Bilangan Berpangkat Dan Bentuk Akar Matematika
Matematika Smp Cara Menyederhanakan Bentuk Akar Dan
Latihan Bilangan Berpangkat Dan Bentuk Akar Matematika
Merasionalkan Penyebut Pecahan Bentuk Akar
Merasionalkan Bentuk Pecahan Penyebut Akar
Merasionalkan Bentuk Akar Eksponen Dan Logaritma
Contoh Soal Bentuk Akar Eksponen Logaritma Dan
Ruangbelajar Matematika Ix Smp Merasionalkan Bentuk Akar
Pembahasan Un Matematika Smp 2018 No 6 Menyederhanakan Bentuk Akar
Cara Merasionalkan Pecahan Bentuk Akar
Matematika Kelas X Merasionalkan Penyebut Bentuk Akar
Matematika Kelas 10 Bab 1 05 Merasionalkan Penyebut
Bilangan Berpangkat Dan Bentuk Akar Anikasari
Proses Ini Dinamakan Merasionalkan Penyebut 1 Merasionalkan
Materi Matematika Sma Kelas 10 Bentuk Akar Deserta Contoh Soal
Bentuk Akar Matematika Sifat Operasi Hitung
No 1 Un 2014 Sma Ipa Merasionalkan Penyebut Bentuk Akar Matematika Soal Dan Pembahasan
Contoh Soal Bentuk Akar Contoh Soal 1
Matematika Kelas 9 Bilangan Bentuk Akar Sifat Sifat Dan
Cara Mudah Merasionalkan Bentuk A B
Soal Soal Bilangan Rasional Akar Smp
Matematika Kelas 9 Bilangan Bentuk Akar Sifat Sifat Dan
290709715 8 Smp Soal Pembahasan Sudut Pusat Keliling
Materi Matematika Sma Kelas 10 Bentuk Akar Deserta Contoh Soal
Merasionalkan Penyebut Bentuk Akar Jago Matematika
Bab Bentuk Pangkat Akar Dan Logaritma
Bilangan Berpangkat Dan Bentuk Akar Materi Soal
Cara Menyelesaikan Pertidaksamaan Rasional Atau
Bahan Ajar Mat X Pangkat Akar Logaritma
Materi Matematika Sma Kelas 10 Bentuk Akar Deserta Contoh Soal
Soal Merasionalkan Penyebut Pecahan
Bentuk Akar Matematika Sifat Operasi Hitung
Cara Merasionalkan Penyebut Pecahan Wikihow
Materi Matematika Smp Kelas Ix Bilangan Berpangkat Dan
Cara Merasionalkan Pecahan Bentuk Akar
Doc Matematika Study Center Abdul Haris Academia Edu
Program Ulangan Harian Matematika Kls X Doc Program
Menyederhanakan Dan Merasionalkan Bentuk Akar Matematika Sbmptn Un Sma
Buku K13 Kelas 10 Matematika Sem1
Menyederhanakan Dan Merasionalkan Bentuk Akar







